6 Mô hình Backlink hiệu quả và bền vững nhất hiện nay
Tác giả: EQVN.NET | Chuyên mục: SEO | Ngày cập nhật: 13 - 04 - 2025
Chia sẻ bài viết này:
Trong quá trình cải thiện thứ hạng website của bạn, mô hình backlink đóng vai trò quan trọng trong chiến lược SEO. Đối mặt với sự cạnh tranh ngày càng khốc liệt trên Internet, việc hiểu rõ và triển khai một chiến lược backlink hiệu quả là chìa khóa để thu hút sự chú ý của công cụ tìm kiếm và tăng cường uy tín trực tuyến. Hôm nay hãy cùng EQVN tìm hiểu 6 Mô hình backlink hiệu quả và bền vững nhất hiện nay.
| EQVN là đơn vị tiên phong trong lĩnh vực đào tạo khóa học Digital Marketing từ năm 2009 và là đối tác chính thức của Facebook và Google. Với kinh nghiệm hơn 20 năm, chúng tôi sẽ cung cấp cho bạn những kiến thức Digital Marketing mới nhất và hữu ích nhất! Tìm hiểu thêm về EQVN tại đây nhé! |
Mục lục
1. Mô hình backlink là gì?
Mô hình backlink là cách sắp xếp, cấu trúc backlink giữa các website vệ tinh và website đối tượng nhầm đạt được kết quả tốt nhất. Sức mạnh của website đối tượng sẽ là tập hợp sức mạnh của những website vệ tinh hướng đến website đối tượng. Việc tạo ra một mô hình liên kết cần khéo léo để tránh sự chú ý từ các bộ máy tìm kiếm như Google.
2. Những mô hình backlink hiệu quả và bền vững nhất hiện nay
2.1. Mô hình liên kết dạng lưới (Link Web)
Mô hình này giống như một mạng nhện khổng lồ mà trung tâm mạng lưới chính là web của bạn.Các trang vệ tinh liên kết với nhau và dẫn đến trang chính. Không có hạn chế trên các trang web vệ tinh và lưới càng lớn, web mục tiêu càng nhận được nhiều sức mạnh.
Đặc Điểm của Mô Hình Liên Kết Lưới:
- Mạng Lưới Đối Tác Hoàn Toàn Mở: Mỗi trang vệ tinh liên kết với tất cả các trang khác, tạo nên một mạng lưới đối tác hoàn toàn mở và liên kết đa dạng.
- Liên kết mục tiêu nhận được rất nhiều quyền lực: Liên kết mục tiêu nhận được rất nhiều quyền lực từ mọi trang vệ tinh, đẩy cao thứ hạng và sức mạnh của nó trên công cụ tìm kiếm.
Ưu Điểm: Mô hình liên kết lưới sử dụng gần như toàn bộ sức mạnh của từng website vệ tinh. Cả trang vệ tinh và trang mục tiêu đều có nhiều liên kết ngược chất lượng cao, tăng cường tính đa dạng và giá trị của liên kết.
Nhược Điểm: Tuy nhiên, điều quan trọng cần lưu ý là mô hình này dễ bị công cụ tìm kiếm chú ý do có quá nhiều backlink. Sự chú ý này có thể gây ra rủi ro cho thứ hạng của trang web, đặc biệt nếu các công cụ tìm kiếm phát hiện ra sự không tự nhiên trong việc liên kết.
2.2. Mô hình Liên kết dạng sao (Link Star)
Mô hình liên kết sao là một chiến lược đơn giản và tập trung, trong đó các trang vệ tinh chỉ liên kết đến trang mục tiêu, tạo ra một cấu trúc liên kết đơn giản nhưng hiệu quả. Nhiều người sử dụng cấu trúc này để tăng liên kết ngược đến trang mục tiêu một cách hiệu quả.
Đặc Điểm của Mô Hình Liên Kết Sao:
- Website mục tiêu nhận 1 backlink từ mỗi Website vệ tinh: Các trang vệ tinh chỉ liên kết đến trang mục tiêu, tập trung tăng cường uy tín cho trang chính.
- Phân tích Backlink để tìm chất lượng: Để đảm bảo backlink chất lượng, quá trình phân tích và lựa chọn các trang web vệ tinh là quan trọng.
Ưu Điểm: Mô hình liên kết sao mang lại nhiều ưu điểm, đặc biệt là chi phí đầu tư thấp và khả năng tối ưu hóa ngân sách. Kỹ thuật thực hiện đơn giản và không đòi hỏi quá nhiều kiến thức nâng cao, làm cho nó trở thành một lựa chọn linh hoạt và hiệu quả.
Nhược Điểm: Tuy nhiên, nhược điểm của mô hình liên kết sao là để có được backlink chất lượng, bạn cần dành thời gian phân tích và lựa chọn cẩn thận từng trang web vệ tinh. Điều này đặt ra yêu cầu cao về quá trình nghiên cứu và đánh giá chất lượng của các trang đối tác.
2.3. Mô hình Liên kết chuỗi (Link Chain)
Mô hình liên kết chuỗi là một chiến lược đơn giản trong việc xây dựng backlink, đòi hỏi từ mỗi site vệ tinh chỉ có một backlink đến trang mục tiêu. Cấu trúc này mang lại hiệu quả tương tự như mô hình Link Wheel, nhưng với một quy trình thực hiện đơn giản hơn.
Đặc điểm của mô hình liên chuỗi:
- Mỗi 1 website vệ tinh có 1 backlink
- Các website vệ tinh được kết nối những link không kết nối theo vòng khép kín. Site mục tiêu nhận 1 backlink từ mỗi website vệ tinh
Ưu Điểm:
- Đơn Giản và Thực Hiện Dễ Dàng: Mô hình này là một trong những chiến lược xây dựng backlink đơn giản nhất, dễ thực hiện, đặc biệt phù hợp với những người mới bắt đầu trong lĩnh vực SEO.
- Hiệu Quả Tương Tự Như Link Wheel: Hiệu quả của mô hình liên kết chuỗi đặc biệt rõ ràng, tương tự như mô hình Link Wheel.
Nhược Điểm: Để xây dựng được backlink chất lượng, mô hình này đòi hỏi sự đầu tư thời gian và công sức lớn để tìm kiếm và xây dựng từng liên kết một cách cẩn thận.
2.4. Mô hình Liên kết bánh xe (Link Wheel)
Mô Hình Liên Kết Bánh Xe mô hình mạng vệ tinh được sản xuất độc lập. Backlink từ website vệ tinh sẽ được các con trỏ độc lập dẫn về website chính mà không liên kết đến các website khác.
Ưu điểm: Khả năng tăng cường lượng backlink bằng cách liên kết từ trang vệ tinh đến trang chính. Trang web mục tiêu nhận được sự đa dạng và tăng cường uy tín trên công cụ tìm kiếm giúp cải thiện thứ hạng mà còn tăng cường khả năng thu hút lượng truy cập lớn từ các nguồn đáng tin cậy.
Nhược điểm: Mô hình liên quan đến thuật toán liên kết của các công cụ tìm kiếm. Do tính chặt chẽ của mạng lưới liên kết, nếu thuật toán phát hiện ra hoặc nghi ngờ về sự không tự nhiên của các liên kết, trang web có thể bị ảnh hưởng nghiêm trọng. Điều này đặt ra yêu cầu cao về chất lượng và tính chính xác của tất cả các trang vệ tinh.
Để xây dựng mô hình này bạn cần phải thực hiện những điều sau:
- Chọn trang web 2.0 làm website vệ tinh
- Hiểu rõ cấu tạo của mô hình link wheel
- Phải bookmark lại hoặc share lên mạng xã hội tất cả blog bạn tạo trên web 2.0
- Ping nguồn cấp dữ liệu RSS hoặc ping backlink
- Lấy nguồn cung cấp dữ liệu RSS của các blog bạn đã tạo để đưa lên thư mục RSS khác nhau
- Đăng ký subdomain của web 2.0 với danh bạ website.
2.5. Mô hình Liên kết bánh xe đôi (Double Linked Link Wheel)
Đây là dạng phức hợp hơn của mô hình wheel. Thay vì mỗi site vệ tinh trỏ về trang chủ đồng thời liên kết với 1 wesite vệ tinh khác thì giờ đây có sự thay đổi nhất định. Ngoài việc liên kết về trang chủ, site vệ tinh còn liên kết thêm với 2 site vệ tinh khác.
Đặc Điểm của Mô Hình Bánh Xe Đôi:
- Mỗi Site Vệ Tinh Nhận Đúng 2 Backlink: Mô hình này đặc trưng bởi việc mỗi site vệ tinh nhận được đúng 2 backlink, một liên kết đến trang chủ và hai liên kết đến hai trang vệ tinh khác.
- Sắp Xếp Trong Một Vòng Tròn Kín: Những site vệ tinh được sắp xếp trong một vòng tròn kín, tạo ra một cấu trúc đồng đều và tự nhiên.
- Trang Mục Tiêu Nhận Được 1 Backlink Từ Mỗi Site Vệ Tinh: Site mục tiêu nhận được một backlink từ mỗi site vệ tinh, tăng cường thứ hạng và uy tín trang web chính.
Ưu Điểm:
- Mô hình bánh xe đôi mang lại nhiều ưu điểm, với việc tạo ra một hình bánh xe hoàn chỉnh, điều chỉnh và thống nhất. Sự phức tạp của mô hình này đồng thời giúp tối ưu hóa lượng backlink, đặc biệt là trên trang chủ, nâng cao lượng truy cập và sức mạnh của trang mục tiêu.
- Liên Kết Bánh Xe Hoàn Chỉnh: Mô hình tạo ra một hình bánh xe đầy đủ, với mỗi site vệ tinh liên kết một cách chiến lược, tăng cường tính đồng nhất của mạng liên kết.
- Tăng Cường Số Lượng Truy Cập: Với lượng backlink nhiều hơn so với các mô hình khác, mô hình bánh xe đôi giúp tối đa hóa lượng truy cập trang chủ.
Nhược Điểm: Để xây dựng để xây dựng backlink và website vệ tinh., đòi hỏi nhiều thời gian và công sức. Quá trình này cần sự kiên nhẫn và chú ý đến chi tiết, nhất là khi so sánh với mô hình liên kết bánh xe ban đầu.
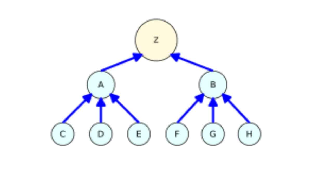
2.6. Mô hình Liên kết dạng kim tự tháp (Link Pyramid)
Liên kết kim tự tháp là một chiến lược mạng lưới đa cấp bậc, tận dụng sự kết hợp tinh tế giữa trang chính và các trang vệ tinh. Nếu trang chính là A và trang vệ tinh là B, mô hình này yêu cầu việc tạo ra nhiều trang vệ tinh C để liên kết đến B. Các trang web B sau đó liên kết trở lại trang web ban đầu (A).
Đặc Điểm của Liên Kết Kim Tự Tháp:
- Liên Kết Hướng Lên và Xuống: Hầu hết các trang vệ tinh liên kết với các trang khác, trong khi từ các trang vệ tinh, liên kết được dẫn về trang chủ (Z).
- Ít Backlink Trực Tiếp Cho Trang Mục Tiêu: Trang mục tiêu ít nhận được backlink trực tiếp từ các trang vệ tinh, tuy nhiên, những liên kết này đều là chất lượng cao.
- Chất Lượng Liên Kết Giảm Ở Cấp Dưới: Theo lý thuyết, chất lượng của các liên kết từ các trang vệ tinh càng xuống cấp, nhưng các liên kết từ trang vệ tinh đỉnh kim tự tháp (cấp C) vẫn duy trì chất lượng cao.
Ưu Điểm: Liên kết kim tự tháp mang lại nhiều ưu điểm, đặc biệt là khả năng ẩn các backlink spam một cách tốt. Chỉ có một số trang vệ tinh ở đỉnh kim tự tháp dẫn link về trang mục tiêu, đồng thời tất cả các liên kết từ trang vệ tinh đều có chất lượng cao.
- An Toàn với Backlink Spam: Các backlink spam có thể được ẩn khá tốt, chỉ có một số trang vệ tinh ở đỉnh kim tự tháp dẫn link về trang mục tiêu, giảm rủi ro từ các liên kết không mong muốn.
- Chất Lượng Cao Tại Đỉnh Kim Tự Tháp: Các liên kết từ các trang vệ tinh đỉnh kim tự tháp đều là chất lượng cao.
Nhược Điểm: Mô hình này chỉ có một số trang vệ tinh dẫn link về trang chủ, do đó, không nên tận dụng quá mức tất cả các trang vệ tinh.
3. Kết luận
Sử dụng mô hình backlink là một phần quan trọng trong chiến lược SEO ngày nay. Bằng cách áp dụng những chiến lược thông minh và sáng tạo, doanh nghiệp có thể không chỉ tối ưu hóa SEO mà còn xây dựng gắn kết với khách hàng mục tiêu. EQVN hy vọng qua bài viết này, bạn đã có thêm cho mình những kiến thức mới về SEO Audit là gì cũng như những kinh nghiệm mới cho việc phát triển SEO tổng thể nói chung và Digital Marketing nói riêng.
Bạn cũng có thể tham khảo thêm Khóa học SEO tại EQVN. Khóa học sẽ giúp bạn nắm bắt kiến thức về SEO nói chung và kỹ thuật SEO Onpage nói riêng, nhằm mục đích nâng cao nhận thức của khách hàng cũng như tối ưu hóa SEO, từ đó gia tăng tỷ lệ chuyển đổi và nâng cao hiệu quả quả kinh doanh.
Tham khảo khóa học
Đến với khóa học SEO tại EQVN, học viên nhận được những lợi ích gì?
- Cập nhật những kiến thức mới nhất về SEO
- Đề phòng cách thức nghiên cứu và phân loại từ khóa
- Xây dựng nội dung bài viết chuẩn SEO
- Biết cách sử dụng các công cụ hỗ trợ SEO
- Xây dựng chiến lược SEO tổng thể và lập kế hoạch SEO
- Triển khai SEO Onpage và SEO Offpage một cách hiệu quả
Tham khảo thông tin chi tiết tại Khóa học SEO – Tối ưu công cụ tìm kiếm Google
Bên cạnh đó, để có thể phát huy mạnh mẽ lợi thế của việc kết hợp và truyền thông đa kênh, Khóa học Chuyên viên Digital Marketing sẽ là lựa chọn phù hợp cho bạn.
Tìm hiểu tổng quan về SEO – Tối ưu công cụ tìm kiếm Google
Để cập nhật các kiến thức mới về SEO, bạn đọc có thể tham khảo tại Chuyên mục bài viết về SEO – Tối ưu hóa công cụ tìm kiếm
Theo dõi các bài viết trên website EQVN
Để cập nhật thêm thông tin, kiến thức bổ ích khác về triển khai Digital Marketing
:
EQVN là đơn vị tiên phong trong lĩnh vực đào tạo khóa học Digital Marketing từ năm 2009 và là đối tác chính thức của Facebook và Google. Với kinh nghiệm hơn 20 năm, chúng tôi sẽ cung cấp cho bạn những kiến thức Digital Marketing mới nhất và hữu ích nhất! Tìm hiểu thêm về EQVN tại đây nhé!
Chia sẻ bài viết này:
EQVN.NET - Đào tạo, tư vấn giải pháp & triển khai Digital Marketing
EQVN là đơn vị tiên phong trong lĩnh vực đào tạo Digital Marketing tại Việt Nam từ năm 2003. Là đối tác chính thức với Facebook, Google, Zalo và các đối khác trong ngành
Bài viết cùng chủ đề
Title tag- thẻ tiêu đề của một trang web là một tín hiệu để Google xếp hạng trang web và tạo ấn tượng đầu tiên…
SEO (Search Engine Optimization) là một trong những lĩnh vực quan trọng nhất trong digital marketing. Nhưng SEO là gì và tại sao nó lại…
Đã bao giờ bạn gặp khó khăn khi phải viết đi viết lại cùng một chủ đề, loay hoay tìm kiếm ý tưởng mới để…
“`html Tối ưu hóa công cụ tìm kiếm (seo): Hướng dẫn toàn diện để nâng cao thứ hạng website Tối ưu hóa công cụ tìm…
SEO Onpage và SEO Offpage là hai trụ cột quan trọng trong chiến lược Digital Marketing, giúp website của bạn đạt thứ hạng cao trên…
ĐÀO TẠO, TƯ VẤN GIẢI PHÁP VÀ TRIỂN KHAI DIGITAL MARKETING
EQVN.NET
Được thành lập vào tháng 4 năm 2003 và bắt đầu đào tạo Digital Marketing vào năm 2009. Với mục tiêu, Hỗ trợ doanh nghiệp và các cá nhân nắm bắt cơ hội và khai thác tối đa ứng dụng của Internet vào hoạt động kinh doanh.
Liên hệ chúng tôi qua mạng xã hội
KHÓA HỌC NỔI BẬT
Cập nhật những thông tin hữu ích về Digital Marketing mỗi tuần





